干細胞療法作為一種前沿醫學技術,為腎臟疾病患者提供了新的治療希望。近年來,隨著干細胞自我更新、多向分化及免疫調節能力的深入研究,其在修復受損腎組織、調節免疫功能和抑制炎癥反應方面展現出顯著潛力。然而,任何醫療手段都存在一定的風險。深入了解干細胞治療腎病可能面臨的風險,對保障患者安全、推動技術規范應用至關重要。
本文基于現有研究和臨床數據,系統分析干細胞治療腎病可能產生的副作用,并探討其風險。

干細胞治療腎病副作用爭議,短期不適還是長期隱患?
一、常見短期副作用
1.1 免疫反應與炎癥反應
異體干細胞移植可能引發免疫系統異常激活,表現為發熱、頭痛或注射部位紅腫。這些反應通常為一過性,24-48小時內自行緩解。
例如,2020年,韓國首爾漢陽大學在國際期刊《風濕病年鑒》上發表了一篇關于《同種異體骨髓間充質干細胞在狼瘡性腎炎的1期研究中的安全性?》的臨床研究成果。

7名患者參與了這項研究。患者通過靜脈輸注接受間充質干細胞治療。報告了3起不良事件(1起腹瀉、1起牙痛和1起關節痛),均為NCI-CTC I級事件。試驗表明異體干細胞治療狼瘡性腎炎具有良好的安全性。
相關閱讀:自體vs異體:不同來源的干細胞治療腎病患者的安全性有區別嗎?
1.2 感染風險
干細胞治療腎病患者需通過侵入性操作(如靜脈輸注或腎局部注射),若操作不規范可能引發感染。尤其在免疫抑制患者中,感染風險顯著增加。
例如2007年,《中國組織工程研究與臨床康復》上發表了一篇關于《親體腎及造血干細胞聯合移植治療多發性骨髓瘤并發慢性腎功能衰竭》的臨床研究成果。

研究表明,術后初期患者處于完全性免疫缺陷狀態,故手術后的消毒、隔離措施和抗感染治療是移植成功的關鍵。
1.3 與輸注途徑直接相關的反應
靜脈注射:最常見的不良反應包括輕微發熱、上呼吸道感染、腹瀉或便秘,通常無需特殊處理即可自行緩解。
局部注射:注射部位可能出現疼痛、紅腫或短暫出血,需密切觀察局部反應。
腎動脈注射:作為干細胞治療腎病的創新途徑,雖可能提高療效,但需警惕血管損傷、栓塞及腎功能波動等風險。需嚴格操作并密切監測。
二、潛在長期風險
2.1 腫瘤形成風險
理論風險:未完全分化的干細胞(如胚胎干細胞)存在異常增殖的可能性,可能形成畸胎瘤或其他腫瘤。
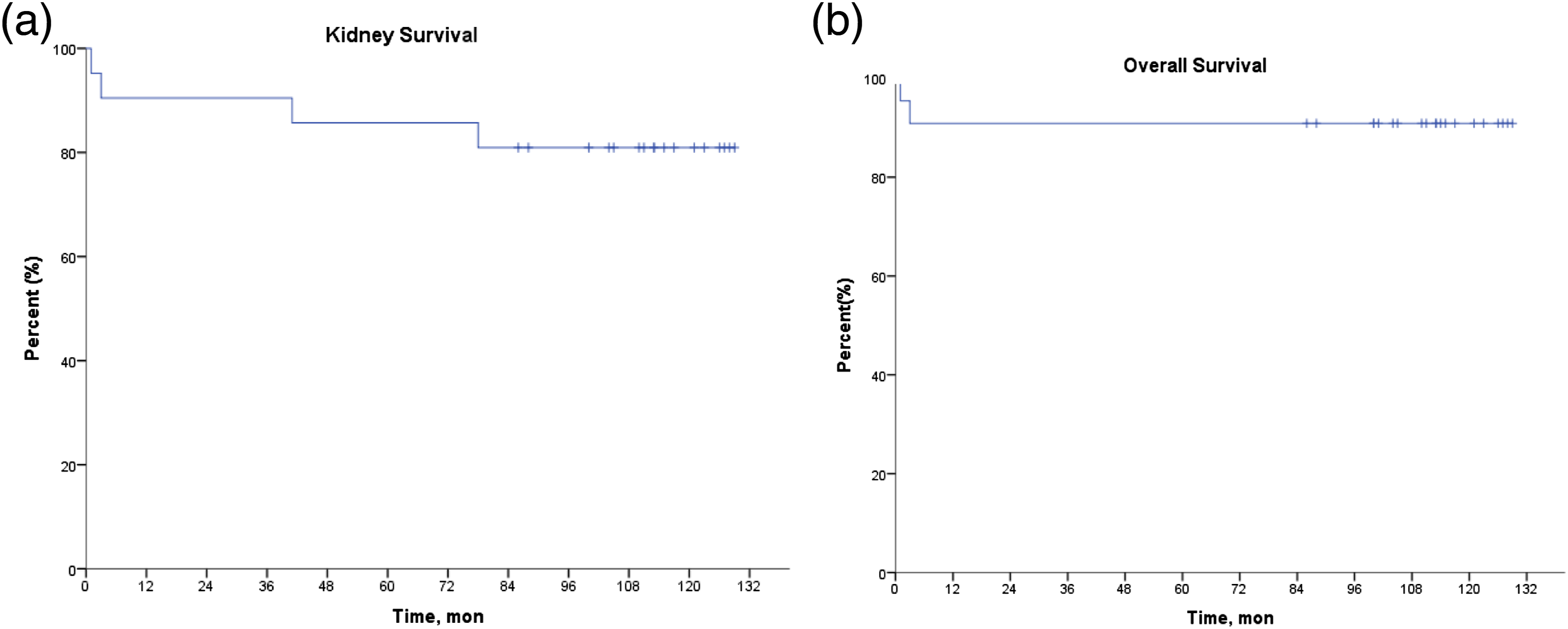
臨床數據:目前研究中未發現明確致瘤證據,2022年,我國南京一家軍醫院在國際期刊《狼瘡》上發表了一篇關于《自體外周血造血干細胞移植治療難治性狼瘡性腎炎的長期隨訪——20例患者系列研究》的臨床研究成果。
這項研究聚焦于使用自體外周血造血干細胞移植(AHSCT)來治療那些對傳統療法反應不佳的難治性狼瘡性腎炎(LN)患者。

在這項研究中,研究人員對20位接受了自體外周血造血干細胞移植(ASCT)治療的難治性狼瘡性腎炎患者進行了平均長達10年的隨訪。
長期隨訪顯示,10年腎臟生存率高達90%,但無病生存率較低(35%),提示需加強復發管理。(見圖1)
移植后1-10年,3例患者接受利妥昔單抗或環孢素維持治療,9例出現腎臟復發,常伴發熱、皮疹等腎外癥狀。復發患者中,1例停藥后復發經多藥聯合治療完全緩解,2例妊娠期間復發但通過藥物控制保障母嬰安全(新生兒均健康)ASCT后常見并發癥包括感染、血小板減少癥及帶狀皰疹,但未出現嚴重治療相關死亡并且未觀察到腫瘤征兆。

本研究系統驗證了ASCT在難治性SLE腎病中的長期療效和安全性,其90%的10年腎臟生存率顯著優于傳統治療,并且多數不良反應都是輕微可控的,為腎病患者提供了新的治療選擇。
2.2 纖維化加重
盡管MSCs可通過抗炎和旁分泌作用抑制纖維化,但若移植細胞存活率低或微環境失調,可能激活成纖維細胞,反而加速腎臟纖維化。
例如,2025年,《Experimental Cell Research》上發表了一項探究間充質干細胞(MSCs)治療急性腎損傷(AKI)的機制的研究成果。研究人員通過構建體內缺血 / 再灌注(I/R)模型,以此探究MSCs治療AKI的作用機制。

結果發現,干細胞需通過MSCs通過調節線粒體功能和抑制細胞焦亡才能有效抑制纖維化。其中,上調PGC-1α在這一過程中發揮了關鍵作用。這一研究成果為基于MSCs的AKI治療提供了新的理論支持,為臨床治療AKI開辟了新的思路和方向。
三、干細胞治療腎病副作用總結
綜上所述,干細胞治療腎病的安全性總體較高,但需關注不同輸注途徑可能引發的短期不良反應,如靜脈注射后的輕微發熱、腹瀉,局部注射導致的疼痛或出血,以及腎動脈注射帶來的血管損傷或栓塞風險;異體干細胞可能引發短暫的免疫反應或過敏癥狀(如皮疹、發熱),但多為輕度且可自行緩解;操作不當或免疫抑制狀態可能增加感染風險。長期風險方面,10年臨床未發現有致瘤風險,但未分化干細胞的異常增殖仍需警惕;此外,部分患者可能出現腎臟纖維化加重,可能與細胞存活率或微環境失調相關,機制尚需進一步研究。
總體來看,現有研究顯示干細胞治療腎病的安全性可控,但需進一步規范操作流程(如精準注射技術、無菌操作)、優化干細胞類型及劑量,并加強長期隨訪以全面評估風險與療效。
四、未來方向
標準化治療方案:通過制定統一的干細胞類型、劑量及輸注標準,減少不良反應。。
標準化操作流程:由專業團隊操作(如介入科或腎內科醫生),確保無菌環境和精準輸注;術前評估患者腎功能及感染風險。
術后監測與管理:密切觀察體溫、感染指標及腎功能變化;對發熱、頭痛等短期反應及時對癥處理。
長期監測體系:治療后需定期評估腫瘤標志物、免疫功能及腎臟影像學變化,尤其是兒童或遺傳性疾病患者。
結語
總體而言,干細胞治療腎病短期不良反應(如發熱、局部炎癥)多為輕度可控,且長期隨訪數據顯示腫瘤形成風險較低。但技術標準化、操作規范及個體化風險評估仍是保障安全性的關鍵。未來需通過統一治療方案、優化細胞來源與劑量、強化多學科協作,進一步降低并發癥風險并提升療效。隨著研究的深入和技術的迭代,干細胞療法有望從“實驗性探索”走向“臨床常規化應用”,為無數腎病患者重塑健康希望。
參考資料:
C.B. Choi, T.Y. Lee, K.S. Kim, S.C. Bae,AB0370?SAFETY OF CS20AT04, A HAPLOIDENTICAL ALLOGENEIC BONE MARROW-DERIVED MESENCHYMAL STEM CELLS, IN A PHASE 1 STUDY IN LUPUS NEPHRITIS,Annals of the Rheumatic Diseases,Volume 79, Supplement 1,2020,Page 1485,ISSN 0003-4967,https://doi.org/10.1136/annrheumdis-2020-eular.3287.
朱清毅,顧曉箭,殷立平,等.親體腎及造血干細胞聯合移植治療多發性骨髓瘤并發慢性腎功能衰竭[J].中國組織工程研究與臨床康復,2007,(51):10234-10237.
免責說明:本文僅用于傳播科普知識,分享行業觀點,不構成任何臨床診斷建議!杭吉干細胞所發布的信息不能替代醫生或藥劑師的專業建議。如有版權等疑問,請隨時聯系我。
掃碼添加官方微信